
San Joaquin FLX-1

U.S. Patent PP19,342
Southern Highbush Blueberry Variety
Description
San Joaquin has a vigorous, upright structure.
Cultivar name: San Joaquin (selection code FLX-1)
Recommended for Florida: no, too late for the Florida market window.
FL region best adapted to: none
Production system: deciduous
Hydrogen cyanamide: performs well with or without hydrogen cyanamide
Machine Harvestability: no data yet
Per plant yields (Density 1,452-1,742 plants/acre):
o North-central FL (2018-2020):
o Central FL (2018-2020):
Known disease susceptibility: Botryosphaeria stem blight
Known insect damage susceptibility: none observed to date
Fruit quality data:
o Fruit firmness: 190 - 200 g/mm, average 195 g/mm, similar to Emerald
o Berry Weight: 2.7 – 3.0 grams, average 2.9 grams, a little higher than Emerald
o Berry Diameter: 18.5 – 19.4 mm, average 19.0 mm, a little larger than Emerald
o Brix: 10.0 – 10.7, average 10.4, lower than Emerald
o Brix/Acid Ratio: 13.9 – 21.0, average 17.5, lower than Emerald
o Fruit scar: medium and dryo Wax/bloom: medium
o Fruit defects: some tearing observed by growers
o Flavor Score: 26.8 – reference Emerald (19.9), Kestrel (29.2)
o Aroma: none
Cultivars with overlapping timing of flowering: Emerald, Jewel, Keecrisp, Kestrel, Magnus, Patrecia, Vireo
Other information: produces good quality berries, yields well, and exhibits a very desirable upright growth habit
License availability: For a list of current nursery licensees in the USA, click here.
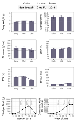
Performance 2018-2019 Season
Graph Details
Yield plot coming from harvesting of two bushes. Values may seem overestimated as all the fruit from the bush is harvested, and because this is harvest yield and no packed yield. Use this data to compare among cultivars and no to predict potential yield on your farm. The vertical lines in the yield plots indicate when 10%, 50% and 90% of the harvest was achieved during the season.
Dotted lines indicate the desired values for new cultivars:​
​
-
Berry weight greater than 2g
-
Fruit Diameter greater than 14mm
-
Firmness higher than 150g/mm
-
Brix higher than 10%
-
TTA less than 1%
-
Brix/TTA higher than 14 units
![]() |
|---|
![]() |
License Availability
For licensing availability contact Florida Foundation Seed Producers (FFSP):
​
http://www.ffsp.net/​​


